Robot assistant for engaging children in
personal care process

Our steps Show me more

Unique robot behavior — for each person

The project will concentrate on development of system which will enable robots identify child's age by the movement. We are using human action recognition with hierarchical growing neural gas learning method to identify the movements. This aim can be accomplished by using Kinect's sensors that identify length of joints. Kinect records series of images, finds x,y,z position of each joints and export to the txt file. This data is computed with a specific algorithm that finally provides required information. The tablet with animated face will help to attract an attention of children to do specific tasks like washing hands.

Continuous data processing

Kinect will record data continuously

Ready in a few minutes

Age estimation and robot adaptation will take only several minutes.

99.99% accuracy

Age estimation algorithm will provide precise and accurate information

Our goals in 3 steps

Omnifood app on iPhone
1

Identify child's length of joints and export it to txt file

2

Use data from txt file and estimate age of child by an algorithm

3

Export age data and use the tablet to create an interaction with children

Demonstrational video

>

Our schedule

Measure xyz axises from series images and compute age by algorithm

Organise field trip to local kindergarden or school

Estimate age of children from taken video and compare with previous results

Record progress of last week in research paper

Organize the second trip to local school for more data gathering

Work on HRI study part. Create Moidodyr's face

Animate and integrate Moidodyr's face with the Kinect and tablet

Conduct usability test and modify HRI study part

Conduct pilot and HRI studies

07.09.2015-12.09.2015


13.09.2015-20.09.2015


21.09.2015-28.09.2015


29.09.2015-03.10.2015


07.10.2015-14.10.2015


17.10.2015-25.10.2015


27.10.2015-05.11.2015


07.11.2015-14.11.2015


17.10.2015-28.11.2015

Results

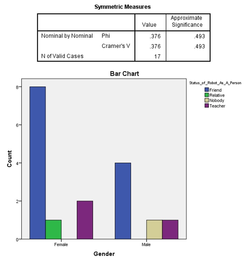
The experiment was conducted in local school #5. The number of participated children in experiment is 17 in the age range of 9-10 years. There were 6 male and 11 female subjects. The two conditions of the robot were tested. First with voice of a old person and the second with voice of a young person. For the first case, the total number of participants was 8, where 3 of them male and 5 of them female. For the second case, the total number of participants was 9, where 3 of them are males and 6 of them are females. Results of the experiment were not so significant. As we can see from the table and a graph from Chi-squre test, p-value is much less than 0.05 which means that the results are not significant. In our case, gender of a subbject did not affect to the results of the Status of the robot. There were 8 different categories of status of the robot, and most of participants chose the status of a "Friend". Only some of them chose the cases of "Teacher", "Relative", and Nobody

Statistics
>

Our team

4th year student of Computer Science. Responsible for team managemant, field trip organization, filling website, creating animation for the HRI, programming and integrating tablet. Customer 1 photo Yerdaulet Absattar
4th year student of Computer Science. Responsible for tracking images from Kinect, estimating length of joint points and computing age by a algorithm. Customer 2 photo Damir Doszhan

Our current progress

1st week

Introductory week

  • Got general overview of HCi

  • Brainstormed ideas
  • Learned about Kinect
  • Learned about NAO

3rd week

Deciding on final idea of the project

  • Made final decision about project idea
  • Installed software
  • Got the video data
  • Got Kinnect

4th week

 

  • Presentation of website

Week 5

Demo version of code and first trip to school

  • Code creation for gait analysis
  • Writing related work for project paper
  • First trip to local school for data gathering

Week 6

Second trip to local school

  • Second trip to local school for data gathering
  • Code modification
  • Adding gathered data to the HCI paper

Week 7

Correction week

  • Modification and correction of work that was done
  • Problem with number of columns in a data

Week 8

Fixed code

  • Code of gathered data was fixed
  • Continuing writing a paper

Week 9

HRI studies

  • Creation of animation for the HRI
  • Writing a code for HRI
  • Integration with HRI part

Week 10

Project Status Presentation

  • Project Status Presentation
  • Further development of HRI stuies

Week 11

Activity changing

  • Changing the system behavior
  • Continuing writing a paper

Week 12

Usability testing

  • Usability testing
  • Moidodyr's modification by adding tooth brushing activity
  • Integration with HRI part

Week 13

Project Status Presentation

  • Project Status Presentation
  • Further development of HRI studies

Week 14

Pilot sudy

  • Pilot study
  • Modification of the system according to the feedback
  • Creation of questionnare for the further HRI study

Week 15

HRI study

  • Data analysis with SPSS
  • HRI study at local school
  • Integration with HRI part

Week 16

Final Presentation

  • Demonstration of the video
  • Final Presentation

We're happy to hear from you

Yes, please